logo

Complex Numbers Quiz Worksheets

Complex Numbers Quiz worksheets curated by Worksheetzone

Discover the power of Complex Numbers Quiz Worksheets, thoughtfully crafted for teachers, homeschoolers, and parents who want purposeful, skill-building practice. Each worksheet in the collection helps reinforce key concepts, sharpen academic skills, and promote critical thinking in a structured, engaging format. Whether you’re preparing in-class activities, take-home packets, or review sessions, these resources save you planning time while boosting student confidence. Unlike random online printables, Complex Numbers Quiz Worksheets offer age-appropriate, standards-aligned, and print-ready materials you can trust. Organized by topic for easy access, it’s the smart way to deliver targeted practice that supports learning at every stage. Make instruction more effective and consistent with Complex Numbers Quiz Worksheets—your go-to resource for high-quality worksheets that work in every learning environment.
More additional Numbers worksheets
icon arrow
By Subject
By Grade
Resource Type

Clear all

Activity:

Quiz

Topic:

Holidays

CCSS:

CCSS ELA
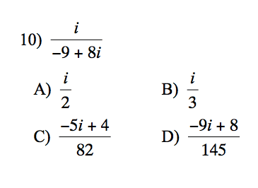
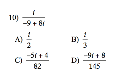
Complex Numbers: Simplify and Solve
Verified

Boost your math skills! Dive into complex number operations and conjugates. Begin the complex numbers quiz now!
Grade:
9th
-
11th
1